Длина дуги циклоиды

Материал из Мегапедии
Перейти к: навигация, поиск
Циклоида

Длина дуги циклоиды — это число, характеризующее протяжённость дуги циклоиды в единицах измерения длины.

Циклоида — это линия, описываемая точкой окружности, когда последняя катится без скольжения по прямой линии (направляющей) (например, по оси абсцисс).

Катящаяся окружность называется производящей.

Рассмотрим дуги циклоиды при 0≤t≤2π.

Обозначения

x1 — абсцисса первой точки дуги;

y1 — ордината первой точки дуги;

t1 — параметр (меньший) первой точки дуги;

x2 — абсцисса второй точки дуги;

y2 — ордината второй точки дуги;

t2 — параметр (больший) второй точки дуги;

R — радиус производящей окружности;

t — параметрическая переменная;

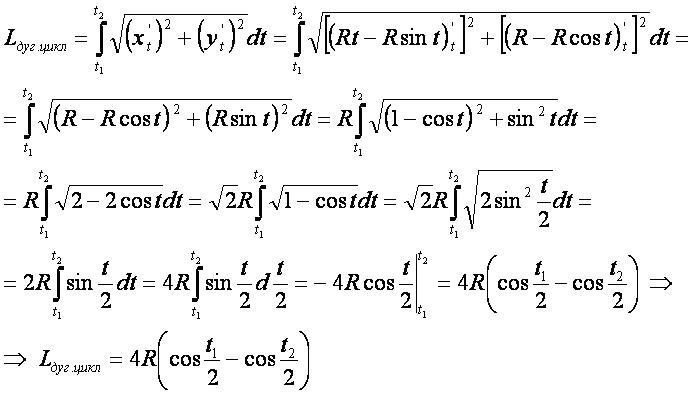
x=R(t-sint) — параметрическое уравнение абсциссы циклоиды;

y=R(1-cost) — параметрическое уравнение ординаты циклоиды;

Lдуг.цикл — длина дуги циклоиды.

Формула

ДЦИ01.JPG

  • Длина полной (от 0 до ) арки циклоиды равна восьми радиусам производящей окружности, Lарк.цикл=8R.

Вывод формулы

ДЦИ11.JPG

Другие кривые:

Ссылки

  • Выгодский М.Я. Справочник по высшей математике. М.: Наука, 1964, стр.492.