Неравенство Гёльдера
Модуль суммы произведений пар из двух наборов чисел не больше произведения 1/p-степени суммы p-степеней модулей первых элементов пар и (p-1)/p-степени суммы p/(1-p)-степеней модулей вторых элементов пар.
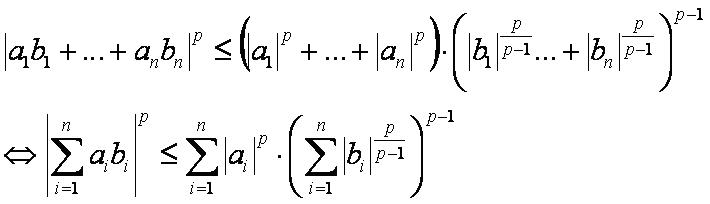
Формула неравенства
Введём обозначения:
n – число чисел в наборах;
p – число больше 1;
ai – i-ое число;
bi – i-ое число.
- Заметим, что при p=2 получаем неравенство Коши-Буняковского.
Следствие
Другие неравенства:
- неравенство n-степени числа;
- неравенство r-степени числа;
- неравенство Йенсена;
- неравенство Юнга;
- неравенство Коши;
- неравенство средних взвешенных;
- неравенство p-ичных средних;
- обобщённое неравенство средних;
- неравенство взвешенных p-ичных средних;
- неравенство Коши-Буняковского;
- интегральное неравенство Коши-Буняковского;
- неравенство Минковского;
- обобщённое неравенство Минковского;
- интегральное неравенство Минковского;
- неравенство Гёльдера;
- обобщённое неравенство Гёльдера;
- интегральное неравенство Гёльдера;
- неравенство Фань Цзы;
- неравенство Маркова;
- неравенство Чебышёва.
Ссылки
- Корн Г., Корн Т. Справочник по математике для научных работников и инженеров. М.: Наука, 1970.
- Участник:Logic-samara