Распределение Бернулли — различия между версиями
(начало) |
|||
| Строка 17: | Строка 17: | ||
'''σ(X)''' — [[Среднеквадратическое отклонение дискретной случайной величины|среднеквадратическое отклонение]]. | '''σ(X)''' — [[Среднеквадратическое отклонение дискретной случайной величины|среднеквадратическое отклонение]]. | ||
== Функции распределения: == | == Функции распределения: == | ||
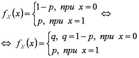
| − | === | + | === Функция вероятности === |
[[файл:БЕРН01.JPG]] | [[файл:БЕРН01.JPG]] | ||
=== Интегральная функция === | === Интегральная функция === | ||
Версия 18:20, 4 апреля 2023
Распределение Бернулли — это распределение дискретной альтернативной случайной величины, с вероятностью события p.
Содержание
Обозначения
X — альтернативная случайная величина;
p — вероятность наступления события;
q — вероятность альтернативного события;
fX(x) — дифференциальная функция распределения — функция плотности вероятности;
FX(x) — интегральная функция распределения — функция вероятности;
M(X) — средняя — математическое ожидание;
D(X) — дисперсия;
σ(X) — среднеквадратическое отклонение.
Функции распределения:
Функция вероятности
Интегральная функция
Формулы:
Вывод формул:
Математическое ожидание
Дисперсия
Другие распределения:
Распределения ДСВ:
- распределение Бернулли;
- биномиальное распределение;
- геометрическое распределение;
- гипергеометрическое распределение;
- дискретное равномерное распределение;
- распределение Пуассона;
Распределения НСВ:
- бета-распределение;
- распределение Вейбулла;
- гамма-распределение;
- квадратичное распределение;
- распределение Коши;
- распределение Лапласа;
- линейное распределение;
- логистическое распределение;
- логнормальное распределение;
- нормальное распределение;
- распределение Парето;
- показательное распределение;
- равномерное распределение;
- распределение Рэлея;
- распределение Сосновского;
- распределение Стьюдента;
- распределение Фишера-Снедекора;
- распределение Хи-квадрат;
- экспоненциальное распределение;
- Эль-распределение.