Геометрическое распределение — различия между версиями
| Строка 26: | Строка 26: | ||
== Функции распределения: == | == Функции распределения: == | ||
=== Функция вероятности === | === Функция вероятности === | ||
| − | |||
[[файл:ГЕОМ01.png]] | [[файл:ГЕОМ01.png]] | ||
=== Интегральная функция === | === Интегральная функция === | ||
| − | |||
[[файл:ГЕОМ02.png]] | [[файл:ГЕОМ02.png]] | ||
== Формулы: == | == Формулы: == | ||
[[файл:ГЕОМ10.JPG]] | [[файл:ГЕОМ10.JPG]] | ||
| + | [[файл:ГЕОМ10.png]] | ||
| + | [[файл:ГЕОМ11.png]] | ||
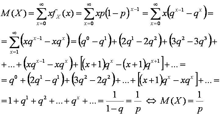
== Вывод формул: == | == Вывод формул: == | ||
=== Математическое ожидание === | === Математическое ожидание === | ||
Версия 05:00, 4 апреля 2023
Геометрическое распределение — это распределение дискретной случайной величины, равной номеру первого наступления события в независимых испытаниях (их бесконечное число), в каждом из которых оно может произойти с одной и той же вероятностью p.
Содержание
Обозначения
X — случайная величина;
p — вероятность наступления события в одном испытании;
q — вероятность не наступления события в одном испытании;
N — множество натуральных чисел;
pX(x) — функция вероятности X=x;
FX(x) — интегральная функция распределения — функция вероятности X<x;
M(X) — средняя — математическое ожидание;
D(X) — дисперсия;
σ(X) — среднеквадратическое отклонение;
Mo(X) — мода;
As(X) — коэффициент асимметрии;
Ek(X) — коэффициент эксцесса.
Функции распределения:
Функция вероятности
Интегральная функция
Формулы:
Вывод формул:
Математическое ожидание
1-й способ
2-й способ
Дисперсия
Другие распределения:
Распределения ДСВ:
- распределение Бернулли;
- биномиальное распределение;
- геометрическое распределение;
- гипергеометрическое распределение;
- дискретное равномерное распределение;
- распределение Пуассона;
Распределения НСВ:
- бета-распределение;
- распределение Вейбулла;
- гамма-распределение;
- квадратичное распределение;
- распределение Коши;
- распределение Лапласа;
- линейное распределение;
- логистическое распределение;
- логнормальное распределение;
- нормальное распределение;
- распределение Парето;
- показательное распределение;
- равномерное распределение;
- распределение Рэлея;
- распределение Сосновского;
- распределение Стьюдента;
- распределение Фишера-Снедекора;
- распределение Хи-квадрат;
- экспоненциальное распределение;
- Эль-распределение.
Ссылки
- Корн Г., Корн Т. Справочник по математике для научных работников и инженеров. М.: Наука, 1970, стр.512.
- Википедия. Геометрическое распределение.
- https://ru.wikipedia.org/wiki/Геометрическое_распределение
- Участник:Logic-samara


