Формула трёх восьмых

Материал из Мегапедии
Перейти к: навигация, поиск

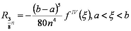
Формула трёх восьмых (формула кубических парабол) - это формула численного интегрирования для вычисления определённых интегралов с заданной точностью.

Квадратурная формула

ЧИ06.JPG ЧИ060.JPG

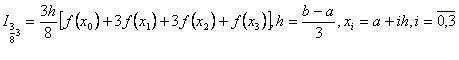
При n=3 формула трёх восьмых имеет вид:

ЧИ063.JPG

При n=6 формула трёх восьмых имеет вид:

ЧИ066.JPG

При n=9 формула трёх восьмых имеет вид:

ЧИ069.JPG

Другие формулы:

Ссылки

  • Демидович Б.П., Марон И.А. Основы вычислительной математики. М.: Наука, 1970.
  • Участник:Logic-samara