Формула Симпсона

Материал из Мегапедии
Перейти к: навигация, поиск

Формула Симпсона (формула парабол) — это формула численного интегрирования для вычисления определённых интегралов с заданной точностью.

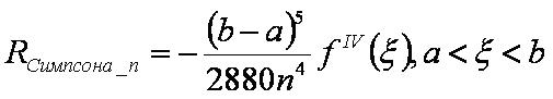
Квадратурная формула

ЧИ05.JPG ЧИ050.JPG

При n=2 формула Симпсона имеет вид:

ЧИ052.JPG

При n=4 формула Симпсона имеет вид:

ЧИ054.JPG

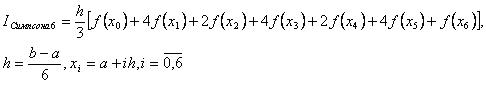
При n=6 формула Симпсона имеет вид:

ЧИ056.JPG

При n=8 формула Симпсона имеет вид:

ЧИ058.JPG

Другие формулы:

Ссылки

  • Демидович Б. П., Марон И. А. Основы вычислительной математики. М.: Наука, 1970.
  • Участник:Logic-samara