Уравнение плоскости, равноудалённой от двух точек
Будем считать, что плоскость, равноудалённая от двух точек, – это плоскость, все точки которой одинаково удалены от заданных точек. Тогда эта плоскость проходит через середину отрезка между точками перпендикулярно этому отрезку.
Содержание
Обозначения
— радиус-вектор точки плоскости;
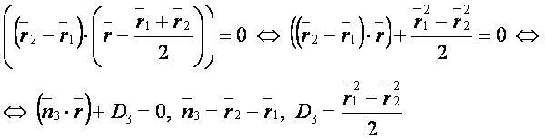
Формулы:
Векторная форма:
Координатная форма:
Другие уравнения:
- уравнение плоскости, проходящей через три точки;
- уравнение плоскости, равноудалённой от двух точек;
- уравнение плоскости, равноудалённой от двух прямых;
- уравнение плоскости, проходящей через две точки параллельно прямой;
- уравнение плоскости, проходящей через две точки перпендикулярно плоскости;
- уравнение плоскости, проходящей через точку и прямую;
- уравнение плоскости, проходящей через точку перпендикулярно прямой;
- уравнение плоскости, проходящей через точку параллельно плоскости;
- уравнение плоскости, проходящей через точку параллельно двум прямым;
- уравнение плоскости, проходящей через точку перпендикулярно двум плоскостям;
- уравнение плоскости, проходящей через прямую параллельно прямой;
- уравнение плоскости, проходящей через прямую перпендикулярно плоскости.