Уравнение плоскости, проходящей через прямую параллельно прямой
Уравнение плоскости, проходящей через прямую параллельно прямой, задаётся равенством нулю смешанного произведения вектора-разности радиусов-векторов точек и направляющих векторов прямых.
Содержание
Обозначения
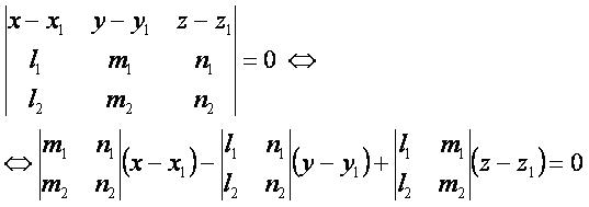
— радиус-вектор точки плоскости;
— радиус-вектор точки первой прямой;
— направляющий вектор первой прямой;
— направляющий вектор второй прямой.
Формулы:
Координатная форма:
- Заметим, что формулы уравнения плоскости, проходящей через прямую параллельно прямой, аналогичны формулам уравнения плоскости, проходящей через точку параллельно двум прямым.
Другие уравнения:
- уравнение плоскости, проходящей через три точки;
- уравнение плоскости, равноудалённой от двух точек;
- уравнение плоскости, равноудалённой от двух прямых;
- уравнение плоскости, проходящей через две точки параллельно прямой;
- уравнение плоскости, проходящей через две точки перпендикулярно плоскости;
- уравнение плоскости, проходящей через точку и прямую;
- уравнение плоскости, проходящей через точку перпендикулярно прямой;
- уравнение плоскости, проходящей через точку параллельно плоскости;
- уравнение плоскости, проходящей через точку параллельно двум прямым;
- уравнение плоскости, проходящей через точку перпендикулярно двум плоскостям;
- уравнение плоскости, проходящей через прямую параллельно прямой;
- уравнение плоскости, проходящей через прямую перпендикулярно плоскости.
Ссылки
- Корн Г., Корн Т. Справочник по математике для научных работников и инженеров. М.: Наука, 1970.
- Выгодский М.Я. Справочник по высшей математике. М.: Наука, 1964, стр.187.