Производные элементарных функций
Материал из Мегапедии
Перейти к:
навигация
,
поиск
Производные элементарных функций
— это
производные
от элементарных функций (табличные).
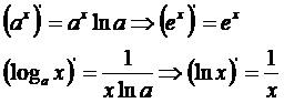
Примеры
Другие производные:
производная
;
производные элементарных функций
;
производные тригонометрических функций
;
производные обратных тригонометрических функций
;
производные гиперболических функций
;
производные обратных гиперболических функций
;
производные сложных функций
.
Ссылки
Категории
:
Математика
Функции
Навигация
Персональные инструменты
Войти
Пространства имён
Статья
Обсуждение
Варианты
Просмотры
Читать
Просмотр вики-текста
История
Ещё
Поиск
Навигация
Заглавная страница
Статистика
Новые страницы
Случайная статья
Свежие правки
Форум
FAQ
Правила сайта
Инструменты
Ссылки сюда
Связанные правки
Спецстраницы
Версия для печати
Постоянная ссылка
Сведения о странице