Производная
Производная — это математический термин, обозначающий некую функцию, соответствующую скорости изменения функции. Нахождение производной от функции называется дифференцированием.
Содержание
Производная от функции
Определения
1. Определение производной через понятие дифференциала.
Производная от функции y=f(x) равна отношению дифференциалов функции и аргумента.
2. Определение производной от функции через понятие предела.
Производная от функции y=f(x) равна пределу отношения приращения функции Δy к приращению аргумента Δx, когда приращение аргумента стремиться к нулю Δx→0.
3. Производная от функции y=y(x), заданной параметрически: x=x(t), y=y(t).
4. Производная от функции y=y(x), заданной неявно уравнением вида: F(x,y)=0.
5. Другие определения.
Производные элементарных функций — это производные от элементарных функций (табличные).
Производные сложных функций — это производные от функций, состоящих из внешней функции и внутренней функции (функция от функции).
Свойства производных
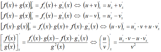
Для функций u=f(x) и v=g(x) верны правила:
При f(x) и g(x)=C получаем:
При f(x)=C и g(x) получаем:
Формулы производных сложных функций
Виды производных:
Другие понятия:
Ссылки
- Корн Г., Корн Т. Справочник по математике для научных работников и инженеров. М.: Наука, 1970.







