Пределы функций с корнями

Материал из Мегапедии
Перейти к: навигация, поиск

Пределы функций с корнями — это пределы выражений, в которых есть корни (знаки радикала) из выражений.

Приёмы нахождения пределов

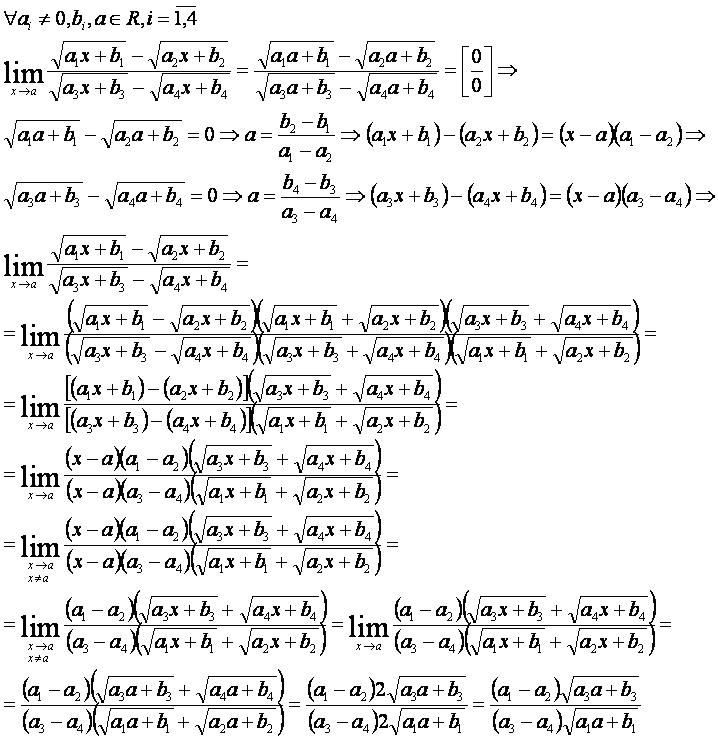
Раскрытие неопределённости типа [0/0]:

1)

ПРЕ431.JPG

2)

ПРЕ432.JPG

3)

ПРЕ433.JPG

Другие пределы:

Ссылки

  • Корн Г., Корн Т. Справочник по математике для научных работников и инженеров. М.: Наука, 1970.