Пределы дробно-рациональных функций

Материал из Мегапедии
Перейти к: навигация, поиск

Пределы дробно-рациональных функций - это пределы дробных выражений, в которых и числитель, и знаменатель являются многочленами с рациональными коэффициентами.

Приёмы нахождения пределов:

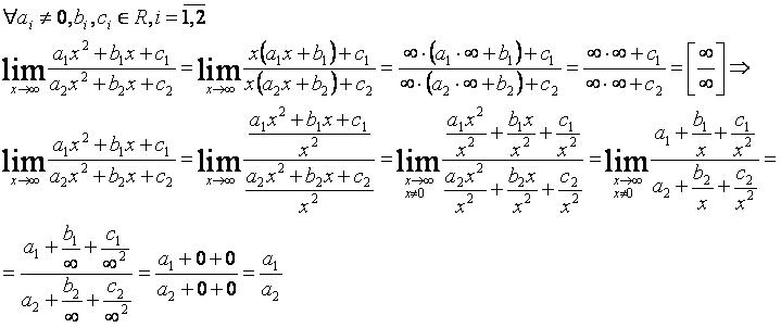
Раскрытие неопределённости типа [∞/∞]:

1)

ПРЕ411.JPG

2)

ПРЕ412.JPG

3)

ПРЕ413.JPG

Раскрытие неопределённости типа [0/0]:

ПРЕ421.JPG

Другие пределы:

Ссылки

  • Корн Г., Корн Т. Справочник по математике для научных работников и инженеров. М.: Наука, 1970.