Площадь правильного шестиугольника
Площадь правильного шестиугольника — это число, характеризующее шестиугольник в единицах измерения площади.
Определение
Правильный шестиугольник (гексагон) — это шестиугольник у которого все стороны и углы равны.
Обозначения
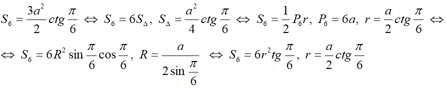
a — длина стороны;
n — число сторон, n=6;
r — радиус вписанной окружности;
R — радиус описанной окружности;
α — половинный центральный угол, α=π/6=30°;
β — внутренний угол между соседними сторонами, β=π˙2/3=120°;
P6 — периметр правильного шестиугольника;
SΔ — площадь равнобедренного треугольника с основанием равным стороне и боковыми сторонами равными радиусу описанной окружности;
S6 — площадь правильного шестиугольника.
Формулы:
- Применяя формулу площади правильного n-угольника для n=6, получим формулы:
- Учитывая значения тригонометрических функций для α=π/6, получим формулы:
где
Другие многоугольники:
- равносторонний треугольник (тригон);
- квадрат (тетрагон);
- пятиугольник (пентагон);
- шестиугольник (гексагон);
- семиугольник (гептагон);
- восьмиугольник (октагон);
- девятиугольник (эннеагон);
- десятиугольник (декагон);
- одиннадцатиугольник (гендекагон);
- двенадцатиугольник (додекагон);
- тринадцатиугольник (тридекагон);
- четырнадцатиугольник (тетрадекагон);
- пятнадцатиугольник (пентадекагон);
- шестнадцатиугольник (гексадекагон);
- семнадцатиугольник (гептадекагон);
- восемнадцатиугольник (октадекагон);
- девятнадцатиугольник (эннеадекагон);
- двадцатиугольник (икосагон);
- правильный n-угольник.



