Площадь правильного восьмиугольника
Площадь правильного восьмиугольника — это число, характеризующее восьмиугольник в единицах измерения площади.
Определение
Правильный восьмиугольник (октагон) — это восьмиугольник у которого все стороны и углы равны.
Обозначения
a — длина стороны;
n — число сторон, n=8;
r — радиус вписанной окружности;
R — радиус описанной окружности;
α — половинный центральный угол, α=π/8=22 1/2 °;
β — внутренний угол между соседними сторонами, β=π˙3/4=135°;
P8 — периметр правильного восьмиугольника;
SΔ — площадь равнобедренного треугольника с основанием равным стороне и боковыми сторонами равными радиусу описанной окружности;
S8 — площадь правильного восьмиугольника.
Формулы:
- Применяя формулу площади правильного n-угольника для n=8, получим формулы:
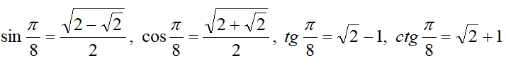
- Учитывая значения тригонометрических функций для α=π/8, получим формулы:
где
Другие многоугольники:
- равносторонний треугольник (тригон);
- квадрат (тетрагон);
- пятиугольник (пентагон);
- шестиугольник (гексагон);
- семиугольник (гептагон);
- восьмиугольник (октагон);
- девятиугольник (эннеагон);
- десятиугольник (декагон);
- одиннадцатиугольник (гендекагон);
- двенадцатиугольник (додекагон);
- тринадцатиугольник (тридекагон);
- четырнадцатиугольник (тетрадекагон);
- пятнадцатиугольник (пентадекагон);
- шестнадцатиугольник (гексадекагон);
- семнадцатиугольник (гептадекагон);
- восемнадцатиугольник (октадекагон);
- девятнадцатиугольник (эннеадекагон);
- двадцатиугольник (икосагон);
- правильный n-угольник.



