Объём эллиптического конуса
Объём эллиптического конуса — это число, характеризующее эллиптический конус в единицах измерения объёма.
Эллиптический конус — это поверхность в трёхмерном пространстве, полученная деформацией конуса вдоль двух взаимно перпендикулярных осей (перпендикулярных оси конуса).
Содержание
Обозначения
a — большая полуось основания;
b — малая полуось основания;
h — высота эллиптического конуса;
Sосн — площадь основания (эллипса);
Vэлл.кон — объём эллиптического конуса.
Формула
- Заметим, что при b=a формула объёма эллиптического конуса превращается в формулу объёма конуса.
Вывод формулы:
1-ый способ
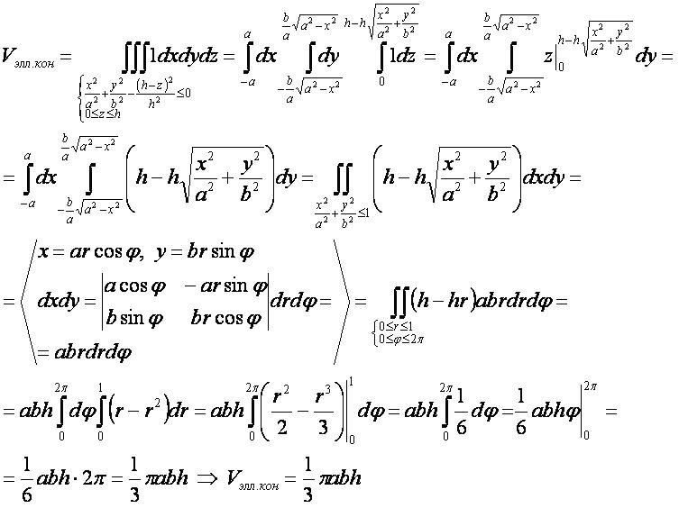
- Для вывода используется формула "объём трёхмерной фигуры" в прямоугольных координатах.
- Для нахождения интеграла используется переход к двойному интегралу и метод замены переменных.
2-ой способ
- Для вывода используется формула "объём трёхмерной фигуры" в прямоугольных координатах.
- Для нахождения интеграла используется метод замены переменных с переходом к цилиндрическим координатам.