Интерполяционная формула Стирлинга
Интерполяция Стирлинга — это определение значений многочлена n-ой степени (проходящего через заданные (2n+1)-у точку) в заданной точке по формуле.
Обозначения:
x − заданная точка;
Sn(x) − значение формулы n-ого порядка в точке x;
(xj,yj) − точки (узлы) интерполяции (-n≤j≤n);
h − шаг по оси абсцисс;
q=(x-x0)/h − параметр заданной точки (0<q≤0,25);
xj= x0+jh − абсцисса j-той точки (-n≤j≤n);
yj − ордината j-той точки (-n≤j≤n);
Δ1yj=yj+1-yj − j-ая конечная разность 1-ого порядка (-n≤j≤n);
Δiyj=Δi-1j+1-Δi-1yj − j-ая конечная разность i-ого порядка (i>1, -n≤j≤n).
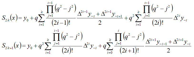
Формула
- Интерполяционная формула Стирлинга является среднеарифметической первой и второй интерполяционных формул Гаусса.
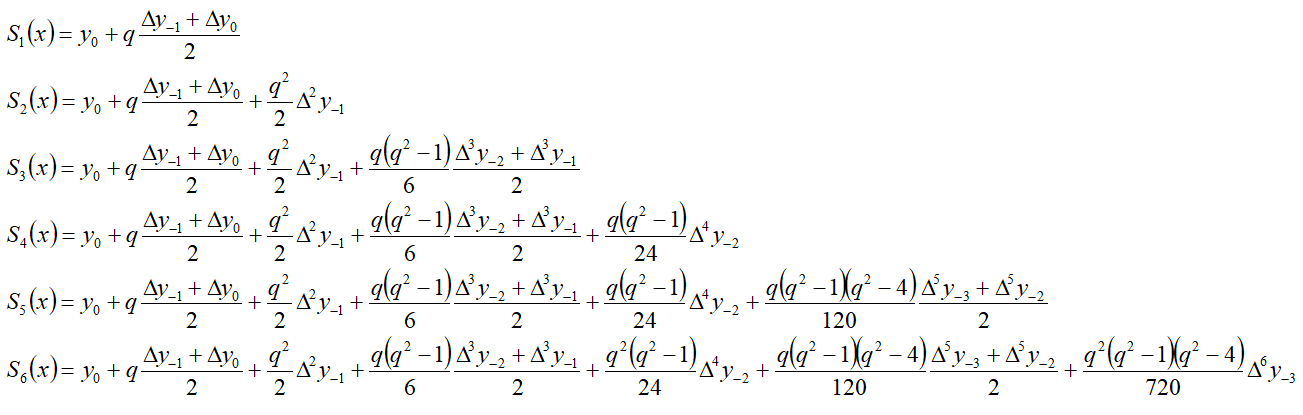
Примеры формулы
Другие формулы:
- Линейная интерполяция;
- Интерполяция каноническим многочленом;
- Интерполяционная формула Бесселя;
- Интерполяционная формула Бесселя на середину;
- Интерполяционная формула Гаусса вперёд (первая формула);
- Интерполяционная формула Гаусса назад (вторая формула);
- Интерполяционная формула Лагранжа;
- Интерполяционная формула Ньютона вперёд (первая формула);
- Интерполяционная формула Ньютона назад (вторая формула);
- Интерполяционная формула Стирлинга.
Литература
- Ермаков В. И. Справочник по математике для экономистов — М.: Высшая школа, 1997, стр.312.

