Интерполяционная формула Бесселя на середину
Интерполяция Бесселя на середину — это определение значений многочлена n-ой степени (проходящего через заданные (2n+1)-у точку) в заданной срединной точке по формуле.
Содержание
Обозначения:
- <math>x</math> − заданная срединная точка;
- <math>B_n(x)</math> − значение формулы 2n-ого порядка в точке x;
- <math>(x_j,y_j)</math> − точки (узлы) интерполяции (-n≤j≤n);
- <math>h</math> − шаг по оси абсцисс;
- <math>q=\frac{x-x_0}{h}</math> − параметр заданной точки (q=0,5);
- <math>x_j= x_0 + jh</math> − абсцисса j-той точки (-n≤j≤n);
- <math>y_j</math> − ордината j-той точки (-n≤j≤n);
- <math>\Delta^1y_j={y_{j+1}}-{y_j}</math> − j-ая конечная разность 1-ого порядка (-n≤j≤n);
- <math>\Delta^iy_j={\Delta^{i-1}y_{j+1}}-{\Delta^{i-1}y_j}</math> − j-ая конечная разность i-ого порядка (i>1, -n≤j≤n).
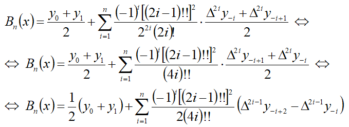
Формула
- Формула интерполирования на середину является частным случаем интерполяционной формулы Бесселя при <math>q=\frac{1}{2}</math>.
Примеры формулы
Квадратическая интерполяция (n=1)
Интерполяция многочленом 4-й степени (n=2)
Интерполяция многочленом 6-й степени (n=3)
Другие формулы:
- Линейная интерполяция;
- Интерполяция каноническим многочленом;
- Интерполяционная формула Бесселя;
- Интерполяционная формула Бесселя на середину;
- Интерполяционная формула Гаусса вперёд (первая формула);
- Интерполяционная формула Гаусса назад (вторая формула);
- Интерполяционная формула Лагранжа;
- Интерполяционная формула Ньютона вперёд (первая формула);
- Интерполяционная формула Ньютона назад (вторая формула);
- Интерполяционная формула Стирлинга.
Литература
- Ермаков В. И. Справочник по математике для экономистов — М.: Высшая школа, 1997, стр.313.



