Интеграл Эйлера-Пуассона
Интеграл Эйлера-Пуассона – это определённый интеграл от функции e-x2 на положительной полуоси абсцисс.
Содержание
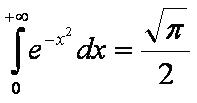
Интеграл Эйлера-Пуассона
- интеграл Эйлера-Пуассона
Вывод формулы
Следствие
Дополнение
Для фиксированного x имеем:
При x=1 получаем:
Другие интегралы:
- интеграл;
- интегралы элементарных функций;
- интегралы дробно-рациональных функций;
- интегралы функций с корнями;
- интегралы тригонометрических функций;
- интегралы обратных тригонометрических функций;
- интегралы гиперболических функций;
- интегралы обратных гиперболических функций;
- интеграл Фурье;
- интеграл Фурье комплексный;
- эллиптические интегралы;
- интегралы, определяемые методом замены переменных;
- интегралы, определяемые по интегральным равенствам;
- интегралы, определяемые по интегральным формулам;
- интеграл Эйлера-Пуассона.
Ссылки
- Кудрявцев В.А., Демидович Б.П. Краткий курс высшей математики. М.: «Наука», 1975, стр.525.