Интегральные формулы
Интегральные формулы — это формулы интегралов из интегральных равенств.
Содержание
Обозначения:
m, n — натуральные числа;
p, q — рациональные числа;
a — действительное число;
x — переменная.
Подынтегральные функции:
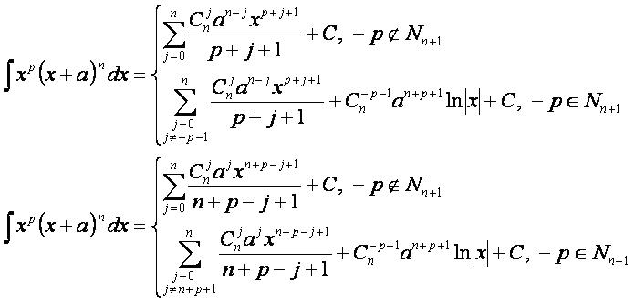
xp(x+a)n
p=1
xm(x+a)q
q=1
(x+a)n/xp
p=1
xm/(x+a)q
q=1
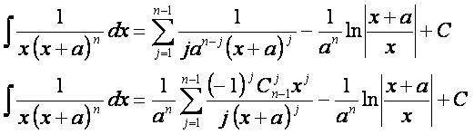
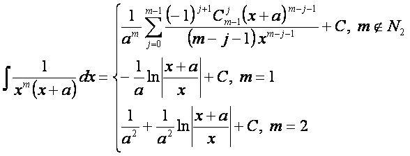
1/[xm(x+a)n]
m=1
n=1
Другие интегралы:
- интеграл;
- интегралы элементарных функций;
- интегралы дробно-рациональных функций;
- интегралы функций с корнями;
- интегралы тригонометрических функций;
- интегралы обратных тригонометрических функций;
- интегралы гиперболических функций;
- интегралы обратных гиперболических функций;
- интеграл Фурье;
- интеграл Фурье комплексный;
- эллиптические интегралы;
- интегралы, определяемые методом замены переменных;
- интегралы, определяемые по интегральным равенствам;
- интегралы, определяемые по интегральным формулам;
- интеграл Эйлера-Пуассона.
Ссылки
- Прудников А.П., Брычков Ю.А., Маричев О.И. Интегралы и ряды. М.: Наука, 1981. стр.27-31.