Дифференциалы элементарных функций
Материал из Мегапедии
Перейти к:
навигация
,
поиск
Дифференциалы элементарных функций
— это
дифференциалы
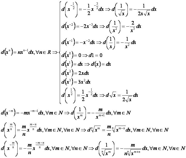
от элементарных функций (табличные).
Примеры
Другие дифференциалы:
дифференциал
;
дифференциалы элементарных функций
;
дифференциалы тригонометрических функций
;
дифференциалы обратных тригонометрических функций
;
дифференциалы гиперболических функций
;
дифференциалы обратных гиперболических функций
;
дифференциалы сложных функций
.
Ссылки
Категории
:
Математика
Функции
Навигация
Персональные инструменты
Войти
Пространства имён
Статья
Обсуждение
Варианты
Просмотры
Читать
Просмотр вики-текста
История
Ещё
Поиск
Навигация
Заглавная страница
Статистика
Новые страницы
Случайная статья
Свежие правки
Форум
FAQ
Правила сайта
Инструменты
Ссылки сюда
Связанные правки
Спецстраницы
Версия для печати
Постоянная ссылка
Сведения о странице