Второй замечательный предел

Материал из Мегапедии
Перейти к: навигация, поиск

Второй замечательный предел — это предел вида ПРЕ042.png

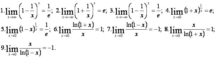
Следствия 2ЗП

ПРЕ232.JPG

Доказательства следствий

ПРЕ235.JPG

Нахождение пределов с помощью 2ЗП

При a>0 верны преобразования:

ПРЕ223.JPG

Другие пределы:

Ссылки

  • Корн Г., Корн Т. Справочник по математике для научных работников и инженеров. М.: Наука, 1970.
  • Участник:Logic-samara