Угол между прямой и плоскостью

Материал из Мегапедии
Перейти к: навигация, поиск

Угол между прямой и плоскостью — это угол между направляющим вектором прямой и нормалью к плоскости.

Обозначения

ВЕК81.JPG — направляющий вектор прямой;

ВЕК92.JPG — нормаль к плоскости;

ПРЯ01.JPG — уравнение прямой;

ПЛО02.JPG — уравнение плоскости;

Ф89.JPG — угол между прямой и плоскостью Ф45.JPG.

Формула

УВВ04.JPG

Угол между плоскостью и прямой

Введём обозначения:

ВЕК91.JPG — нормаль к плоскости;

ВЕК82.JPG — направляющий вектор прямой;

ПЛО01.JPG — уравнение плоскости;

ПРЯ02.JPG — уравнение прямой;

Ф98.JPG — угол между плоскостью и прямой Ф54.JPG.

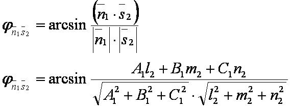
УВВ05.JPG

Другие формулы:

Ссылки

  • Корн Г., Корн Т. Справочник по математике для научных работников и инженеров. М.: Наука, 1970, стр.82.
  • Выгодский М. Я. Справочник по высшей математике. М.: Наука, 1964, стр.176.