Трёхиндексная транспортная задача
Трёхиндексная транспортная задача (ТТЗ) – это многопродуктовая транспортная задача оптимизации перевозок, являющаяся трёхмерным обобщением транспортной задачи.
Содержание
Постановка задачи ТТЗ
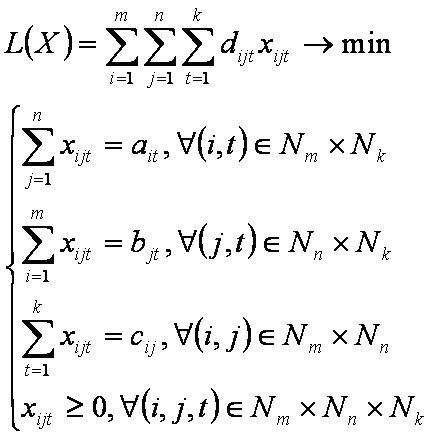
Пусть имеется m поставщиков (A1,A2,…,Am), n потребителей (B1,B2,…,Bn) и k различных продуктов (C1,C2,…,Ck). Пусть заданы объёмы поставок ait продукта Ct поставщиком Ai, объёмы потребностей bjt в продукте Ct у потребителя Bj, объёмы перевозок cij от поставщика Ai к потребителю Bj. Пусть известны транспортные расходы dijt на перевозку единицы продукта Ct от поставщика Ai к потребителю Bj и необходимо определить план перевозок с минимальной суммой транспортных расходов, тогда трёхиндексная транспортная задача (ТТЗ) формулируется следующим образом:
где xijt - объём перевозок продукта Ct от поставщика Ai к потребителю Bj.
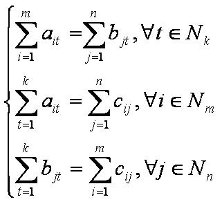
Условия разрешимости
Для разрешимости задачи необходимо выполнение условий баланса:
,
т.е. необходимо, чтобы объём поставок каждого продукта равнялся объёму потребностей в нём, чтобы объём поставок каждого поставщика равнялся объёму перевозок от него, чтобы объём потребностей каждого потребителя равнялся объёму перевозок к нему.
Постановка вспомогательной задачи
Сформулируем задачу, таким образом, чтобы её оптимальное решение при xm+1n+1k+1=0 совпадало с оптимальным решением исходной. Для построения вспомогательной задачи введём новые обозначения:
M — это достаточно большое положительное число.
Математическая модель вспомогательной задачи принимает следующий вид:
Метод решения ТТЗ
Трёхиндексная транспортная задача решается методом потенциалов для решения транспортной задачи обобщённым на трёхмерный случай. Пусть имеется допустимое опорное решение ТТЗ. Начальное допустимое опорное решение может быть получено с помощью алгоритма минимального элемента для ТТЗ. Тогда метод потенциалов для ТТЗ принимает вид.
Метод потенциалов
1.Берём допустимое опорное решение Xmxnxk и базис Zmxnxk.
2.Определяем значение целевой функции L=ΣΣΣdijtxijt и базис опорного решения Bo={(i,j,t)|zijt=1}.
3.Определяем оценку Δo и элемент (io,jo,to) с помощью алгоритма расчёта потенциалов для ТТЗ (также определяются оценки оптимальности Δijt).
4.Проверяем решение на оптимальность. Если Δo=0, то решение Xmxnxk - оптимальное и конец работы, иначе определяем E+={(i,j,t)|Δijt>=0}.
5.Определяем оценку Δx, элемент (ix,jx,tx) и новое опорное решение Xmxnxk с помощью алгоритма перераспределения перевозок для ТТЗ. Если нового допустимого опорного решения нет, то переходим к пункту 7.
6.Определяем новое значение целевой функции L=L-ΔoΔx и новый базис Bo=Bo\(ix,jx,tx)U(io,jo,to). Переходим к пункту 3.
7.Переопределяем множество E+=E+\(io,jo,to) и определяем новую оценку Δo и элемент (io,jo,to). Если новый элемент (io,jo,to) есть, то переходим к пункту 5, иначе конец работы.
Пример ТТЗ
Допустимое решение
Решение методом потенциалов
Задачи транспортного типа:
- Транспортная задача;
- Распределительная задача;
- Задача о назначениях;
- Транспортная задача с промежуточными пунктами;
- Транспортная задача с промежуточными пунктами с запретами;
- Транспортная задача с промежуточными пунктами и ограничением по транзиту;
- Открытая транспортная задача с промежуточными пунктами;
- Открытая транспортная задача с промежуточными пунктами 1;
- Открытая транспортная задача с промежуточными пунктами 2;
- Открытая транспортная задача с промежуточными пунктами 3;
- Открытая транспортная задача с промежуточными пунктами 4;
- Трёхиндексная транспортная задача;
- Трёхиндексная транспортная задача с аксиальными суммами;
- Трёхиндексная транспортная задача с промежуточными пунктами.
Другие задачи:
Ссылки
- Емеличев В.А., Ковалев М.М., Кравцов М.К., Многогранники. Графы. Оптимизация. — М., 1981, стр.313
- Кривопалов Ю.А. Метод потенциалов для решения трёхиндексной транспортной задачи. М.,ВИМИ, 1990г. деп.№Д08221.
- Кривопалов Ю.А. Метод потенциалов для решения трёхиндексной транспортной задачи. Сборник ХI конференции «Наука. Творчество» 2015, Самара, Т.1,стр.39.
- Участник:Logic-samara