Открытая транспортная задача с промежуточными пунктами 1
Открытая транспортная задача с промежуточными пунктами 1 – это открытая транспортная задача оптимизации перевозок с использованием промежуточных (транзитных) пунктов с избытком грузов (для перевозок) у поставщиков.
Содержание
Обозначения:
n — число конечных пунктов (поставщиков и потребителей);
np — число поставщиков;
n-np — число потребителей;
m — число промежуточных пунктов (складов);
mp — число складов с дополнительными (внутренними) потребностями;
m-mp — число складов с излишками продукции или нулевыми остатками;
bj>0, j=1,np — объём поставок продукции поставщиков;
bj<0, j=np+1,n — объём потребностей (в продукции) потребителей;
ai>0, i=1,mp — дополнительные (внутренние) потребности продукции (на складе);
ai≤0, i=mp+1,m — излишки продукции или нулевые остатки (на складе);
cij>0, i=1,m, j=1,np — транспортные тарифы на перевозку единицы продукции от поставщика на склад;
cij<0, i=1,m, j=np+1,n — транспортные тарифы на перевозку единицы продукции со склада к потребителю;
xij≥0, i=1,m, j=1,np — объём перевозок продукции от поставщика на склад;
xij≤0, i=1,m, j=np+1,n — объём перевозок продукции со склада к потребителю.
Математическая модель
- Заметим, что в системе ограничений открытой задачи должно быть хотя бы одно строгое неравенство.
Условия разрешимости
Для разрешимости открытой задачи необходимо выполнение условий:
Введём дополнительные обозначения:
am+1>0 — дополнительные (внутренние) потребности продукции на фиктивном складе;
cm+1j>0, j=1,np — транспортные тарифы на перевозку единицы продукции от поставщика на фиктивный склад;
cm+1j<0, j=np+1,n — транспортные тарифы на перевозку единицы продукции с фиктивного склада к потребителю;
xm+1j≥0, j=1,np — объём перевозок продукции от поставщика на фиктивный склад;
xm+1j≤0, j=np+1,n — объём перевозок продукции с фиктивного склада к потребителю.
Пусть M — это достаточно большое положительное число.
Для построения вспомогательной эквивалентной закрытой задачи введём фиктивный склад (с дополнительными внутренними потребностями) с параметрами:
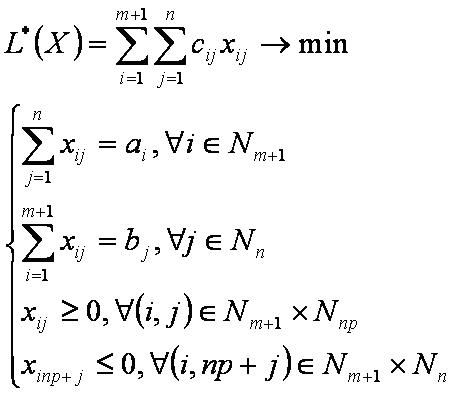
Вспомогательная задача
Решение вспомогательной задачи
Очевидно, что вспомогательная задача является закрытой транспортной задачей с промежуточными пунктами, которая разрешима по построению. Для определения начального решения используется метод северо-западного угла, а для решения применяется метод потенциалов. Очевидно, что M-множители и метод потенциалов приводят к нулевым соответствующим (с фиктивного склада к потребителям) перевозкам в оптимальном решении. В оптимальном решении вспомогательной задачи все перевозки через конечные и промежуточные пункты (без фиктивного склада) являются оптимальным решением исходной задачи. А перевозки на фиктивный склад являются остатками не использованной продукции поставщиков.
Другие задачи:
- Транспортная задача;
- Распределительная задача;
- Задача о назначениях;
- Транспортная задача с промежуточными пунктами;
- Транспортная задача с промежуточными пунктами с запретами;
- Транспортная задача с промежуточными пунктами и ограничением по транзиту;
- Открытая транспортная задача с промежуточными пунктами;
- Открытая транспортная задача с промежуточными пунктами 1;
- Открытая транспортная задача с промежуточными пунктами 2;
- Открытая транспортная задача с промежуточными пунктами 3;
- Открытая транспортная задача с промежуточными пунктами 4;
- Трёхиндексная транспортная задача;
- Трёхиндексная транспортная задача с аксиальными суммами;
- Трёхиндексная транспортная задача с промежуточными пунктами.
Ссылки
- Кривопалов В. Ю., Решение открытой транспортной задачи с промежуточными пунктами. Сборник научных трудов конференции ПИТ-2015, СГАУ, Т.2, стр.86-91. http://ssau.ru/files/events/2015/pit_2015_2.pdf
- Участник:Logic-samara