Средний темп роста

Материал из Мегапедии
Перейти к: навигация, поиск

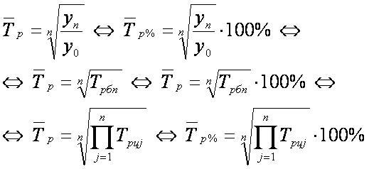
Средний темп роста — это положительное число, характеризующее средний рост показателя в относительных единицах. Рассчитывается как корень n-ой степени из отношения значений показателя (n-ого отчётного периода и базисного периода). При умножении на 100% измеряется в процентах.

Обозначения:

n — число анализируемых (отчётных) периодов (или моментов времени);

j — индекс (номер) периода (или момента времени);

y0 — значение показателя (уровень) в базисном периоде;

yj — значение показателя в j-ом отчётном периоде;

Tрбjj-ый базисный темп роста в относительных единицах;

Tрцjj-ый цепной темп роста в относительных единицах;

ТРО00.JPG — средний темп роста в относительных единицах.

Формулы:

ТРО11.JPG

Другие показатели:

Ссылки