Система управления запасами с естественной убылью
Система управления запасами с естественной убылью — это система, в которой есть поток спроса с постоянной интенсивностью μ, поток поставок запасов с интенсивностью λ и поток естественной убыли, причём доля убыли равна γ.
Содержание
Графическая модель
Динамическая модель
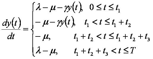
Динамика изменения запаса за один производственный цикл описывается дифференциальным уравнением:
Соотношения модели имеют вид:
Обозначения
Параметры модели:
Y – предельный запас на складе;
T – время производственного цикла на складе;
L – затраты в единицу времени;
g - фиксированные расходы, связанные с запуском производства;
s – стоимость хранения запаса;
p – штраф за дефицит;
h – стоимость потерь от естественной убыли;
λ – интенсивность поставок;
μ – интенсивность спроса;
γ – доля естественной убыли;
t1 – время пополнения запаса на складе;
t2 – время расхода запаса на складе;
t3 – время расхода в условиях дефицита на складе;
t4 – время пополнения дефицита на складе;
yp – предельный дефицит на складе;
Yγ – естественная убыль.
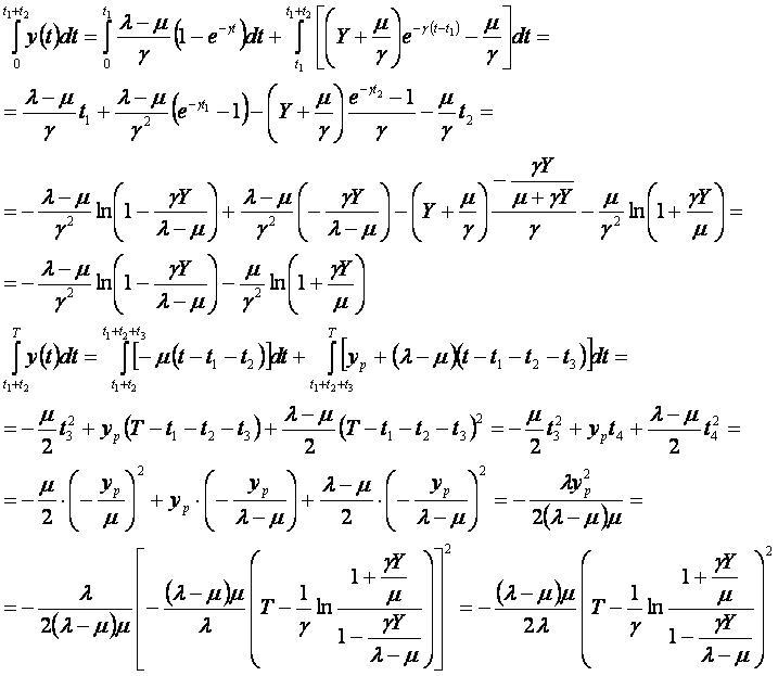
Приведём формулы основных интегралов:
Учитывая формулы основных интегралов, получаем следующий вид математической модели.
Математическая модель
Для оптимизации модели необходимо найти частные производные и приравнять их нулю:
Упрощая систему, получаем:
Отсюда получаем нелинейное уравнение относительно Y.
Уравнение решается с помощью численных методов, например, методом деления отрезка пополам.
Другие системы:
- Система управления запасами;
- Система управления запасами с постоянным спросом;
- Система управления запасами с естественной убылью.
Ссылки
- Рыжиков Ю.И. Управление запасами, «Наука», М.,1969, стр.308-312.
- Участник:Logic-samara