Симплекс-метод

Материал из Мегапедии
Перейти к: навигация, поиск

Симплекс-метод — это метод для решения задач линейного программирования.

Описание метода

Суть симплекс-метода состоит в переходе от одной угловой точки (одного базиса) многогранника допустимых решений к другой (другому базису) с целью оптимизации целевой функции. При этом симплекс-таблица в каждом базисе новая. Целевая функция соответствует гиперплоскости (в заданном базисе), которая проходит через угловую точку. Оценки оптимальности соответствуют отклонениям относительно гиперплоскости. Когда все оценки оптимальности положительны, тогда целевая функция достигает максимума, когда все оценки оптимальности отрицательны, тогда целевая функция достигает минимума.

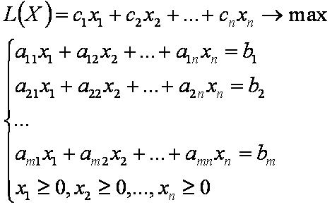
Каноническая задача

Математическая модель канонической задачи имеет следующий вид:

СМ01.JPG

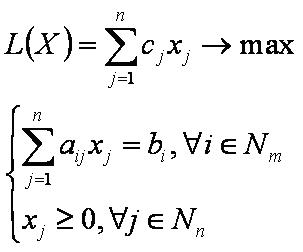
или

СМ02.JPG

В каждой угловой точке многогранника допустимых решений число базисных элементов совпадает с числом (независимых) уравнений. Симплекс-таблица для базисных элементов имеет единичные вектор-столбцы.

Расширенная матрица

Для построения симплекс-таблицы, необходимо выбрать базисные элементы, построить из базисных вектор-столбцов матрицы коэффициентов A базисную матрицу B. Затем рассчитать матрицу коэффициентов A’ по формулам и построить расширенную матрицу.

СМ03.JPG.

Расширенная матрица исходной симплекс-таблицы имеет вид:

СМ04.JPG

Симплекс-таблица

Исходная симплекс-таблица имеет вид:

СМ041.JPG

Формулы выбора переменных для ввода в базис и для вывода из базиса

СМ05.JPG

В случае когда Δ=0, опорное решение X - оптимальное и завершение итераций, иначе строится новая симплекс-таблица с новым опорным решением.

Формулы перехода к новой симплекс-таблице имеют вид:

СМ06.JPG

Расширенная матрица новой симплекс-таблицы имеет вид:

СМ07.JPG

Новая симплекс-таблица имеет вид:

СМ071.JPG

Далее переходят к выбору новых переменных для ввода в базис и для вывода из базиса.

  • Заметим, что при решении задачи максимизации при выборе новой переменной выбирают минимальную оценку Δj, чтобы избавиться от всех отрицательных оценок Δj. При решении задачи минимизации при выборе новой переменной надо выбирать максимальную оценку Δj, чтобы избавиться от всех положительных оценок Δj. Оценки Δj называются критериями оптимальности.

Другие методы:

Ссылки