Проекция вектора на вектор

Материал из Мегапедии
Перейти к: навигация, поиск

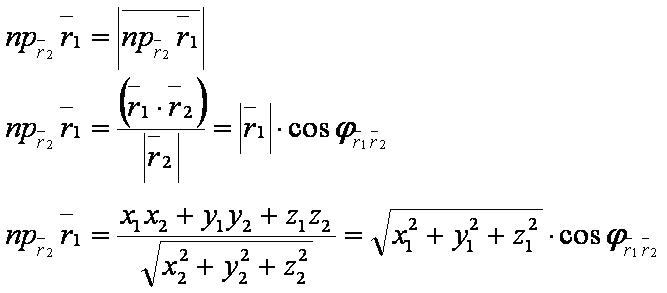
Числовая проекция вектора на другой вектор (в алгебраическом смысле) — это число, равное отношению скалярного произведения этих векторов к длине второго вектора.

Векторная проекция вектора на другой вектор (в геометрическом смысле) — это вектор с длиной, равной отношению скалярного произведения этих векторов к длине второго вектора, и с направлением второго вектора.

Обозначения

ВЕК71.JPG — первый вектор;

ВЕК72.JPG — второй вектор.

Формулы

ПВВ01.JPG

ПВВ02.JPG

  • При r2=r1 получаем равенства ПВВ03.JPG

Другие формулы:

Ссылки

  • Корн Г., Корн Т. Справочник по математике для научных работников и инженеров. М.: Наука, 1970.