Признак Даламбера

Материал из Мегапедии
Перейти к: навигация, поиск

Признак Даламбера — это признак сходимости для определения сходимости или расходимости ряда РЯД00.png

Условие применимости

Признак Даламбера применим для ряда РЯД00.png при условии РЯД033.png.

Формулировка

Если РЯД31.JPG, то ряд РЯД00.png — сходится.

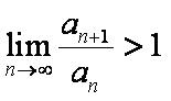
Если РЯД32.JPG, то ряд РЯД00.png — расходится.

Другие признаки:

Ссылки

  • Кудрявцев В. А., Демидович Б. П. Краткий курс высшей математики. М.: «Наука», 1975.
  • Участник:Logic-samara