Модели СМО

Материал из Мегапедии
Перейти к: навигация, поиск

Mодели СМО — это математические модели систем массового обслуживания.

Системы массового обслуживания:

СМО02.JPG

СМО с отказами

СМО12.JPG

СМО с очередью

СМО22.JPG

СМО с ограниченным временем ожидания

СМО32.JPG

СМО замкнутая с очередью

СМО42.JPG

СМО с взаимопомощью с очередью

СМО52.JPG

СМО с отказами и взаимопомощью

СМО62.JPG

СМО с бесконечным числом каналов

СМО72.JPG

СМО с бесконечной очередью

СМО82.JPG

СМО замкнутая без очереди

СМО92.JPG

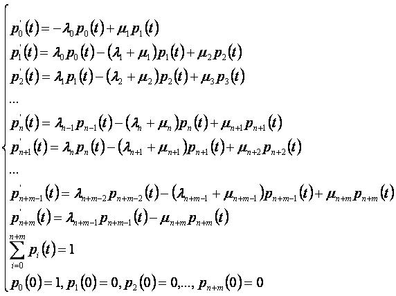
Другие модели:

Ссылки

  • Овчаров Л.А. Прикладные задачи теории массового обслуживания, «Машиностроение», М.,1969.