Метод Гаусса
Метод Гаусса — это численный метод нахождения решения системы линейных уравнений вида Ax=b.
Описание метода
Суть метода Гаусса состоит в приведении системы уравнений к треугольному виду с помощью элементарных преобразований строк.
Алгоритм решения
Входные данные: A, b.
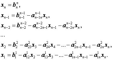
Прямой ход.
...
Обратный ход.
Выходные данные: x.
Другие методы:
- Для решения систем нелинейных уравнений используется метод Ньютона.
Ссылки
- Демидович Б.П., Марон И.А. Основы вычислительной математики. М.: Наука, 1970.
- Участник:Logic-samara