Матричная система дифференциальных уравнений динамического процесса
Матричная система дифференциальных уравнений динамического процесса — это система дифференциальных уравнений, описывающая процесс во времени, в которой дифференциальные уравнения являются элементами матрицы.
Содержание
Обозначения
Введём обозначения
– матрица функций, описывающих процесс;
– матрица производных функций.
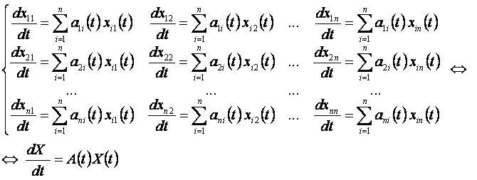
Матричная система дифференциальных уравнений имеет вид:
Полагая матрицу коэффициентов A постоянной, получаем матричную систему линейных дифференциальных уравнений.
Пример 1
Матрица – это единичная матрица.
Матрица – это матричная экспонента.
Пример 2
Матрица – это матрица начальных условий.
Другие системы:
Ссылки
- Р. Беллман. Введение в теорию матриц. М.: Наука, 1976, стр.191.
- Участник:Logic-samara