Коэффициент Рябцева
Коэффициент В. М. Рябцева — это некоторое число от 0 до 1, характеризующее структурные изменения (сдвиги) удельных весов элементов (групп) совокупности. Чем ближе значение коэффициента к 1, тем сильнее различия в структуре. Оценка производится на основе максимально возможной величины структурных расхождений между элементами (группами) совокупностей, оценивается соотношение фактических расхождений отдельных элементов (групп) с максимально возможными значениями.
Содержание
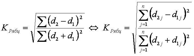
Обозначения:
n — число элементов (групп) совокупности;
j — номер (индекс) элемента (группы) совокупности;
d1, d1j — удельные веса j-ого элемента (группы) первой совокупности;
d2, d2j — удельные веса j-ого элемента (группы) второй совокупности;
KРябц — коэффициент В. М. Рябцева.
Формула
Другие коэффициенты:
- коэффициент вариации;
- линейный коэффициент вариации;
- коэффициент ковариации;
- коэффициент осцилляции;
- коэффициент парной корреляции;
- коэффициент линейной регрессии;
- коэффициент множественной корреляции;
- коэффициент множественной регрессии;
- коэффициент ранговой корреляции Спирмена;
- коэффициент ранговой корреляции Кендалла;
- коэффициент корреляции Фехнера;
- коэффициент детерминации;
- коэффициент конкордации Кендалла;
- коэффициент ассоциации;
- коэффициент контингенции;
- коэффициент взаимной сопряжённости;
- коэффициент взаимной сопряжённости Пирсона;
- коэффициент взаимной сопряжённости Чупрова;
- коэффициент дифференциации;
- коэффициент Гатева;
- коэффициент Салаи;
- коэффициент Рябцева.