Индекс средней себестоимости

Материал из Мегапедии
Перейти к: навигация, поиск

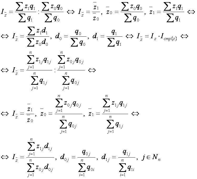
Индекс средней себестоимости — это положительное число, характеризующее темп роста средневзвешенной себестоимости в относительных единицах. Рассчитывается как отношение текущей средневзвешенной себестоимости товаров к средневзвешенной себестоимости базисного периода.

Обозначения:

n — число товаров (ассортиментный набор);

j — индекс (номер) товара;

z0, z0j — себестоимость j-ого товара в базисном периоде;

z1, z1j — себестоимость j-ого товара в отчётном периоде;

q0, q0j — физический объём j-ого товара в базисном периоде;

q1, q1j — физический объём j-ого товара в отчётном периоде;

zq, zjqj — затраты j-ого товара;

d, dj — доля j-ого товара в ассортиментном наборе (в натуральном выражении);

ИСБ00.JPG — средняя себестоимость товаров ассортиментного набора;

ИСБ02.JPG — индекс средней себестоимости или индекс себестоимости переменного состава;

Iz — общий индекс себестоимости или индекс себестоимости фиксированного состава;

Iстр(z) — индекс структурных сдвигов по себестоимости.

Формулы:

ИСБ11.JPG

Другие индексы:

Ссылки

  • Википедия. Индексы.