Гипотеза о дисперсии равной числу при неизвестной средней
Гипотеза о дисперсии равной числу при неизвестной средней для нормально распределённой случайной величины использует статистику, имеющую X2-распределение.
Содержание
Обозначения
n — число значений в выборке;
D0 — положительное число;
DГ — дисперсия генеральной совокупности;
σв=σ — среднеквадратическое отклонение выборки,
;
s — исправленное среднеквадратическое отклонение выборки,
;
α — уровень значимости — вероятность ошибки 1-го рода;
γ=1-α — коэффициент доверия;
X2 — переменная X2-распределения;
k — число степеней свободы, k=n-1;
FX2(X2,k) — интегральная функция X2-распределения.
Гипотезы о дисперсии:
— статистика, имеющая X2-распределение.
Пример 1
H0:DГ=D0;
H1:DГ≠D0;
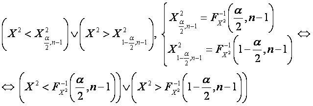
— критерий отклонения гипотезы H0.
Пример 2
H0:DГ=D0;
H1:DГ>D0;
— критерий отклонения гипотезы H0.
Пример 3
H0:DГ=D0;
H1:DГ<D0;
— критерий отклонения гипотезы H0.
Другие гипотезы:
- Гипотеза о средней равной числу при известной дисперсии;
- Гипотеза о средней равной числу при неизвестной дисперсии;
- Гипотеза о дисперсии равной числу при известной средней;
- Гипотеза о дисперсии равной числу при неизвестной средней;
- Гипотеза о равенстве дисперсий;
- Гипотеза о равенстве межгрупповой и внутригрупповой дисперсий;
- Гипотеза о равенстве нескольких дисперсий;
- Гипотеза о равенстве средних при известных дисперсиях;
- Гипотеза о равенстве разности средних числу при известных дисперсиях;
- Гипотеза о равенстве средних при неизвестных равных дисперсиях;
- Гипотеза о равенстве средних при неизвестных дисперсиях;
- Гипотеза о вероятности равной числу;
- Гипотеза о равенстве вероятностей;
- Гипотеза о нормальном законе распределения;
- Гипотеза об отсутствии линейной корреляционной связи;
- Гипотеза о коэффициенте линейного уравнения регрессии равном нулю;
- Гипотеза о коэффициенте линейного уравнения множественной регрессии равном нулю;
- Гипотеза о значимости линейного уравнения регрессии;
- Гипотеза о значимости линейного уравнения множественной регрессии;
- Гипотеза о коэффициенте корреляции равном числу;
- Гипотеза о коэффициенте корреляции равном нулю;
- Гипотеза о равенстве коэффициентов корреляции.
Ссылки
- Корн Г., Корн Т. Справочник по математике для научных работников и инженеров. М.: Наука, 1970, стр.561.
