Гиперболические функции разности
Гиперболические функции разности — это гиперболические функции, в которых аргументами являются разности.
Содержание
Формулы:
sh(x-y):
ch(x-y):
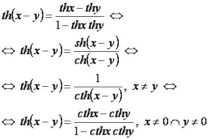
th(x-y):
cth(x-y):
Другие формулы:
- гиперболические функции;
- сумма гиперболических функций;
- разность гиперболических функций;
- произведение гиперболических функций;
- гиперболические функции суммы;
- гиперболические функции разности;
- гиперболические функции кратных аргументов;
- гиперболические функции двойного аргумента;
- гиперболические функции половинного аргумента;
- выражение гиперболических функций через другую;
- выражение гиперболических функций через тригонометрические;
- гиперболические функции комплексной переменной;
- производные гиперболических функций;
- дифференциалы гиперболических функций;
- интегралы гиперболических функций;
- графики гиперболических функций.
Ссылки
- Бронштейн М.Н., Семендяев К.А., Справочник по математике. М., 1956, стр.195.