Алгоритм Флойда

Материал из Мегапедии
Перейти к: навигация, поиск

Алгоритм Флойда — это алгоритм нахождения минимальных расстояний между пунктами.

Обозначения

Введём обозначения.

n - число пунктов.

dij - расстояние от пункта i до пункта j, зависящее от направления.

Алгоритм нахождения минимальных расстояний

Входные данные: n; {d12, d13, ..., dn n-1}.

АФ01.JPG

Выходные данные: {d12, d13, ..., dn n-1}.

Введём дополнительные обозначения.

mij - маршрут от пункта i до пункта j.

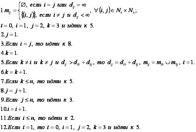
Алгоритм получения оптимальных маршрутов

Входные данные: n; {d12, d13, ..., dn n-1}.

АФ02.JPG

Выходные данные: {d12, d13, ..., dn n-1}; {m12, m13, ..., mn n-1}.

Другие алгоритмы:

Ссылки