Алгоритм северо-западного угла для ТЗПП
Алгоритм северо-западного угла — это алгоритм нахождения допустимого решения для транспортной задачи с промежуточными пунктами (ТЗПП).
Содержание
Обозначения
Введём обозначения:
m – число промежуточных пунктов (складов)(m>1);
n – число конечных пунктов (поставщиков и потребителей)(n>1);
mp – число складов с положительными дополнительными потребностями (0≤mp≤m);
np – число поставщиков (конечных пунктов c положительными значениями) (0<np<n);
ai – дополнительная потребность (со знаком) i-ого промежуточного пункта (склада);
bj – объём грузов (со знаком) j-ого конечного пункта (для поставщиков объём положительное число, для потребителей – отрицательное);
xij – объём перевозки (со знаком) между i-ым промежуточным пунктом и j-ым конечным пунктом;
zij – признак базисного элемента (i,j).
Алгоритм 1
Входные данные:
Алгоритм:
Выходные данные:
- Заметим, что при выборе новой клетки СЗУ(i,j) необходимо увеличивать индекс строки i или индекс столбца j.
Алгоритм 2
Входные данные:
Алгоритм:
Выходные данные:
Пример АСЗУ для ТЗПП
Транспортная задача
Транспортная таблица
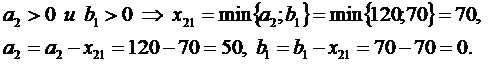
Нахождение допустимого решения
Допустимое решение
Другие алгоритмы:
- алгоритм северо-западного угла для ТЗ;
- алгоритм северо-западного угла для ТЗПП;
- алгоритм расчёта потенциалов для ТЗ;
- алгоритм расчёта потенциалов для ТЗПП;
- алгоритм перераспределения перевозок для ТЗ;
- алгоритм перераспределения перевозок для ТЗПП;
- алгоритм решения ТЗПП с запретами;
- алгоритм минимального элемента для ТТЗ;
- алгоритм расчёта потенциалов для ТТЗ;
- алгоритм перераспределения перевозок для ТТЗ.
Ссылки
- Кривопалов В. Ю., Метод северо-западного угла для нахождения допустимого решения транспортной задачи с промежуточными пунктами. Сборник конференции ПИТ-2014, СГАУ, стр.369-372. http://www.ssau.ru/files/events/2014/pit_14_1_6.pdf
- Кривопалов В. Ю., Обобщённый метод потенциалов для решения транспортной задачи с промежуточными пунктами. Сборник Х конференции «Наука. Творчество» 2014, Самара-Москва, Т.1,стр.23-29.
- Участник:Logic-samara



























